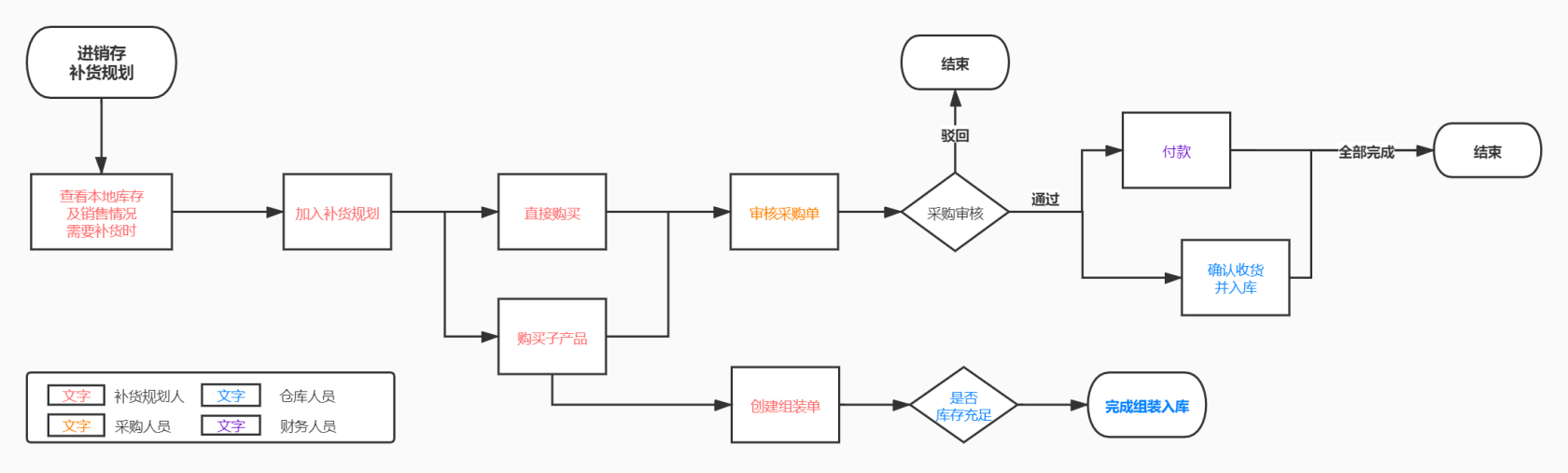
采购规划
①功能概述:
采购规划是通过推导:亚马逊销量情况(所预估的未来销量)>> FBA库存需求 >>本地发货情况 >> 本地库存需求情况 以及配置在各个货物运输阶段所需花费的天数 等等周期参数,推导得出建议采购量,逐个产品SKU完成【采购计划】的制作。
采购规划流程
②页面介绍:
1.面板功能
2.参数编辑
(1)预估日均销量
须由开发/运营人员根据销售策略,对未来的产品销量进行预测,设置大概的日均销量参数。
点击日历图标,可按自定义周期/按月设置未来产品销量预测
位置:采购规划/发货规划 任意SKU面板展开后 - 预估日均销量
a.近期:选择近一段时间设置日均销量
b.区间:自定义起始日期与结束日期,设置日均销量
c.按月:按月度设置
清空干预:清空当前产品的全部自定义预测,恢复系统计算的数据
※ 以上三种方式均是设置日均销量,选择一种方式设置即可,否则会存在数据冲突
(2)本地备货周期修改
本地备货周期10天即等于本地安全库存周期10天,即代表希望在本地仓库囤足够销售10天的货物。(新系统暂未设置和计算本地备货周期)
(3)FBA备货周期修改
FBA备货周期 = FBA安全库存周期 + 头程周期 + 上架周期
此处仅能修改安全库存周期(即代表希望足够满足FBA该站几日销售的数量)
(4)头程周期/上架周期
根据所选运输方式对应不同的头程周期天数
【发货-发货规划】“FBA发货参数”中 可设置默认站点-运输渠道-对应头程周期天数
(5)供货周期
在【产品管理-产品编辑】中进行修改
使用本地产品对应首选供应商上用户录入的供货周期天数
③操作流程:
1.设置规划仓库
将多个本地仓库划入同一条规划,则会在计算规划时考虑多个仓库的综合库存。可设置多个仓库规划进行切换,一个本地仓库不可存在于多个仓库规划当中。
2.通过筛选找到需要做规划的产品
↓如下图:可筛选店铺、产品标签、产品状态、产品负责人等

















